Question:
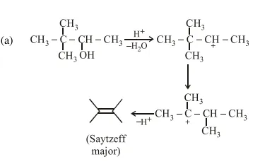
Consider the following reactions:

Which of these reaction(s) will not produce Saytzeff product?
Correct Option: 1
Solution:




$\left(\mathrm{CH}_{3}\right)_{3} \mathrm{O}^{-} \mathrm{K}^{+}$is incorrect representation of potassium tert-butoxide $\left[\left(\mathrm{CH}_{3}\right)_{3} \mathrm{CO}^{-} \mathrm{K}^{+}\right]$.
So it is possible that it can be given as Bonus