Question:
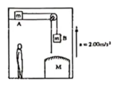
Consider the situation shown in figure (18-E16). The elevator is going up with an acceleration of $2.00 \mathrm{~m} / \mathrm{s}^{2}$ and the focal length of the mirror is $12.0 \mathrm{~cm}$. all the surfaces are smooth and the pulley is light. The mass pulley system is released from rest (with respect to the elevator) at $i=0$ when the distance of $B$ from the mirror is $42 \mathrm{~cm}$. Find the distance the image of the block B and the mirror at $t=0.200 \mathrm{~s}$. Take $\mathrm{g}=10 \mathrm{~m} / \mathrm{s}^{2}$.

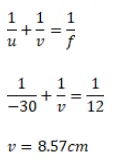
Solution:

