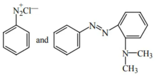
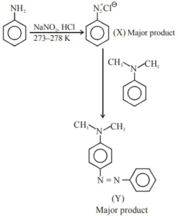
Considering the above reaction, $X$ and $Y$ respectively are

Question:

Considering the above reaction, $X$ and $Y$ respectively are

 


Correct Option: , 2

Solution:

Leave a comment