Differentiate each of the following w.r.t.

Question:

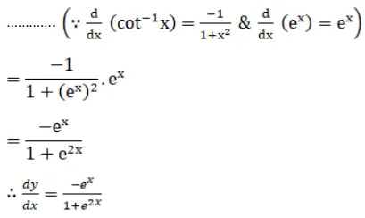
Differentiate each of the following w.r.t. $x$ :

$\cot ^{-1}\left(e^{x}\right)$

Solution:

Leave a comment