Question:
Divide 30x4 + 11x3 − 82x2 − 12x + 48 by (3x2 + 2x − 4) and verify the result by division algorithm.
Solution:
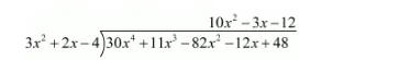
Here we have to divide $30 x^{4}+11 x^{3}-82 x^{2}-12 x+48$ by $3 x^{2}+2 x-4$.

$30 x^{4}+20 x^{3}-40 x^{2}$
$-9 x^{3}-42 x^{2}-12 x+48$
$-9 x^{3}-6 x^{2}+12 x$
$-36 x^{2}-24 x+48$
$-36 x^{2}-24 x+48$
According to division algorithm, Dividend = Divisor × Quotient + Remainder.
This can be verified as,
Divisor × Quotient + Remainder
$\left(3 x^{2}+2 x-4\right) \times\left(10 x^{2}-3 x-12\right)$
$=30 x^{4}-9 x^{3}-36 x^{2}+20 x^{3}-6 x^{2}-24 x-40 x^{2}+12 x+48$
$=30 x^{4}+11 x^{3}-82 x^{2}-12 x+48$
$=$ Dividend