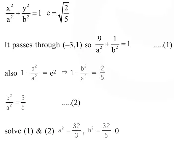
Question: Equation of the ellipse whose axes are the axes of coordinates and which passes through the point $(-3,1)$ and has eccentricity $\sqrt{2 / 5}$ is :-
$3 x^{2}+5 y^{2}-15=0$
$5 x^{2}+3 y^{2}-32=0$
$3 x^{2}+5 y^{2}-32=0$
$5 x^{2}+3 y^{2}-48=0$
Correct Option: , 3
Solution:
