Equation of the line passing through the points of intersection

Question:

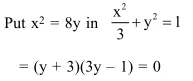
Equation of the line passing through the points of intersection of the parabola $x^{2}=8 y$ and the ellipse $\frac{x^{2}}{3}+y^{2}=1$ is :-

  1.  y + 3 = 0

  2. 3y + 1 = 0

  3.  3y – 1 = 0

  4.  y – 3 = 0


Correct Option: , 3

Solution:

Leave a comment