Express the matrix A as the sum of a symmetric and a skew-symmetric matrix,
Question:
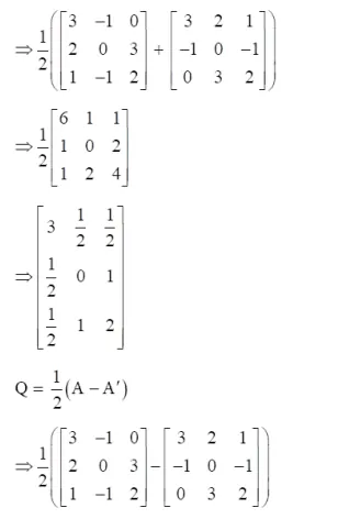
Express the matrix A as the sum of a symmetric and a skew-symmetric matrix, where $A=\left[\begin{array}{ccc}3 & -1 & 0 \\ 2 & 0 & 3 \\ 1 & -1 & 2\end{array}\right]$.
Solution:


$\Rightarrow \frac{1}{2}\left[\begin{array}{ccc}0 & -3 & -1 \\ 3 & 0 & 4 \\ 1 & -4 & 0\end{array}\right]$
