Find a particular solution satisfying the given condition for each of the following differential equations.
Question:
Find a particular solution satisfying the given condition for each of the following differential equations.
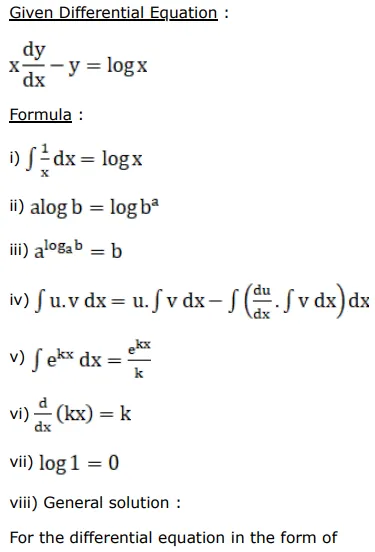
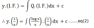
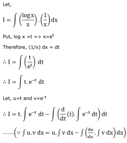
$\mathrm{x} \frac{\mathrm{dy}}{\mathrm{dx}}-\mathrm{y}=\log \mathrm{x}$, given that $y=0$ when $x=1$
Solution:








