Find a unit vector in the direction of the vector:
Question:
Find a unit vector in the direction of the vector:
A. $(3 \hat{\mathrm{i}}+4 \hat{\mathrm{j}}-5 \hat{\mathrm{k}})$
B. $(3 \hat{\mathrm{i}}-2 \hat{\mathrm{j}}+6 \hat{\mathrm{k}})$
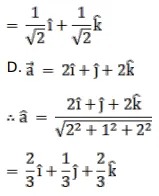
C. $(\hat{\mathrm{i}}+\hat{\mathrm{k}})$
D. $(2 \hat{\mathrm{i}}+\hat{\mathrm{j}}+2 \hat{\mathrm{k}})$
Solution:

