Question:
Find all the zeros of the polynomial $x^{3}+3 x^{2}-2 x-6$, if two of its zeros are $-\sqrt{2}$ and $\sqrt{2}$.
Solution:
We know that if $x=\alpha$ is a zero of a polynomial, and then $x-\alpha$ is a factor of $f(x)$.
Since $\sqrt{2}$ and $-\sqrt{2}$ are zeros of $f(x)$.
Therefore
$(x+\sqrt{2})(x-\sqrt{2})=x^{2}-(\sqrt{2})^{2}$
$=x^{2}-2$
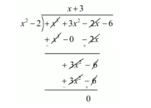
$x^{2}-2$ is a factor of $f(x)$.Now, we divide $x^{3}+3 x^{2}-2 x-6$ by $g(x)=x^{2}-2$ to find the other zeros of $f(x)$.

By using division algorithm we have $f(x)=g(x) \times q(x)-r(x)$
$x^{3}+3 x^{2}-2 x-6=\left(x^{2}-2\right)(x+3)-0$
$=(x+\sqrt{2})(x-\sqrt{2})(x+3)$
Hence, the zeros of the given polynomials are $-\sqrt{2},+\sqrt{2}$, and $-3$.