Find the area between the curve

Question:

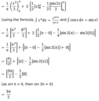
Find the area between the curve $y=\frac{x}{\pi}+2 \sin ^{2} x$, the axis and the ordinates $x=0$ and $x=\pi$.

Solution:

Given

Leave a comment