Find the area of the region enclosed between the circles

Question:

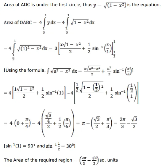
Find the area of the region enclosed between the circles $x^{2}+y^{2}=1$ and $(x-1)^{2}+y^{2}=1$

Solution:

 

Leave a comment