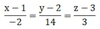
Find the Cartesian and vector equations of a line which passes through the point
Download now India's Best Exam Prepration App
Class 8-9-10, JEE & NEET
Video Lectures
Live Sessions
Study Material
Tests
Previous Year Paper
Revision
Question:
Find the Cartesian and vector equations of a line which passes through the point $(1,2,3)$ and is parallel to the line $\frac{-x-2}{1}=\frac{y+3}{7}=\frac{2 z-6}{3}$.