Find the derivative of the following functions:
(i) sin x cos x
(ii) sec x
(iii) 5 sec x + 4 cos x
(iv) cosec x
(v) 3cot x + 5cosec x
(vi) 5sin x – 6cos x + 7
(vii) 2tan x – 7sec x
(i) Let f (x) = sin x cos x. Accordingly, from the first principle,
$f^{\prime}(x)=\lim _{h \rightarrow 0} \frac{f(x+h)-f(x)}{h}$
$=\lim _{h \rightarrow 0} \frac{\sin (x+h) \cos (x+h)-\sin x \cos x}{h}$
$=\lim _{h \rightarrow 0} \frac{1}{2 h}[2 \sin (x+h) \cos (x+h)-2 \sin x \cos x]$
$=\lim _{h \rightarrow 0} \frac{1}{2 h}[\sin 2(x+h)-\sin 2 x]$
$=\lim _{h \rightarrow 0} \frac{1}{2 h}\left[2 \cos \frac{2 x+2 h+2 x}{2} \cdot \sin \frac{2 x+2 h-2 x}{2}\right]$
$=\lim _{h \rightarrow 0} \frac{1}{h}\left[\cos \frac{4 x+2 h}{2} \sin \frac{2 h}{2}\right]$
$=\lim _{h \rightarrow 0} \frac{1}{h}[\cos (2 x+h) \sin h]$
$=\lim _{h \rightarrow 0} \cos (2 x+h) \cdot \lim _{h \rightarrow 0} \frac{\sin h}{h}$
$=\cos (2 x+0) .1$
$=\cos 2 x$
(ii) Let f (x) = sec x. Accordingly, from the first principle,
$f^{\prime}(x)=\lim _{h \rightarrow 0} \frac{f(x+h)-f(x)}{h}$
$=\lim _{h \rightarrow 0} \frac{\sec (x+h)-\sec x}{h}$
$=\lim _{h \rightarrow 0} \frac{1}{h}\left[\frac{1}{\cos (x+h)}-\frac{1}{\cos x}\right]$
$=\lim _{h \rightarrow 0} \frac{1}{h}\left[\frac{\cos x-\cos (x+h)}{\cos x \cos (x+h)}\right]$
$=\frac{1}{\cos x} \cdot \lim _{h \rightarrow 0} \frac{1}{h}\left[\frac{-2 \sin \left(\frac{x+x+h}{2}\right) \sin \left(\frac{x-x-h}{2}\right)}{\cos (x+h)}\right]$
$=\frac{1}{\cos x} \cdot \lim _{h \rightarrow 0} \frac{1}{h}\left[\frac{-2 \sin \left(\frac{2 x+h}{2}\right) \sin \left(-\frac{h}{2}\right)}{\cos (x+h)}\right]$
$=\frac{1}{\cos x} \cdot \lim _{h \rightarrow 0} \frac{\left[\sin \left(\frac{2 x+h}{2}\right) \frac{\sin \left(\frac{h}{2}\right)}{\left(\frac{h}{2}\right)}\right]}{\cos (x+h)}$
$=\frac{1}{\cos x} \cdot \lim _{\frac{h}{2} \rightarrow 0} \frac{\sin \left(\frac{h}{2}\right)}{\left(\frac{h}{2}\right)} \cdot \lim _{h \rightarrow 0} \frac{\sin \left(\frac{2 x+h}{2}\right)}{\cos (x+h)}$
$=\frac{1}{\cos x} \cdot 1 \cdot \frac{\sin x}{\cos x}$
$=\sec x \tan x$
(iii) Let f (x) = 5 sec x + 4 cos x. Accordingly, from the first principle,
$f^{\prime}(x)=\lim _{h \rightarrow 0} \frac{f(x+h)-f(x)}{h}$
$=\lim _{h \rightarrow 0} \frac{5 \sec (x+h)+4 \cos (x+h)-[5 \sec x+4 \cos x]}{h}$
$=5 \lim _{h \rightarrow 0} \frac{1}{h}\left[\frac{1}{\cos (x+h)}-\frac{1}{\cos x}\right]+4 \lim _{h \rightarrow 0} \frac{1}{h}[\cos (x+h)-\cos x]$
$=5 \lim _{h \rightarrow 0} \frac{1}{h}\left[\frac{\cos x-\cos (x+h)}{\cos x \cos (x+h)}\right]+4 \lim _{h \rightarrow 0} \frac{1}{h}[\cos x \cos h-\sin x \sin h-\cos x]$
$=\frac{5}{\cos x} \lim _{h \rightarrow 0} \frac{1}{h}\left[\frac{-2 \sin \left(\frac{x+x+h}{2}\right) \sin \left(\frac{x-x-h}{2}\right)}{\cos (x+h)}\right]+4 \lim _{h \rightarrow 0} \frac{1}{h}[-\cos x(1-\cos h)-\sin x \sin h]$
$=\frac{5}{\cos x} \cdot \lim _{h \rightarrow 0} \frac{1}{h}\left[\frac{-2 \sin \left(\frac{2 x+h}{2}\right) \sin \left(-\frac{h}{2}\right)}{\cos (x+h)}\right]+4\left[-\cos x \lim _{h \rightarrow 0} \frac{(1-\cos h)}{h}-\sin x \lim _{h \rightarrow 0} \frac{\sin h}{h}\right]$
$=\frac{5}{\cos x} \cdot \lim _{h \rightarrow 0}\left[\frac{\sin \left(\frac{2 x+h}{2}\right) \cdot \frac{\sin \left(\frac{h}{2}\right)}{\frac{h}{2}}}{\cos (x+h)}\right]+4[(-\cos x) \cdot(0)-(\sin x) \cdot 1]$
$=\frac{5}{\cos x}\left[\lim _{h \rightarrow 0} \frac{\sin \left(\frac{2 x+h}{2}\right)}{\cos (x+h)} \cdot \lim _{h \rightarrow 0} \frac{\sin \left(\frac{h}{2}\right)}{\frac{h}{2}}\right]-4 \sin x$
$=\frac{5}{\cos x} \cdot \frac{\sin x}{\cos x} \cdot 1-4 \sin x$
$=5 \sec x \tan x-4 \sin x$
(iv) Let f (x) = cosec x. Accordingly, from the first principle,
$f^{\prime}(x)=\lim _{h \rightarrow 0} \frac{f(x+h)-f(x)}{h}$
$f^{\prime}(x)=\lim _{h \rightarrow 0} \frac{1}{h}[\operatorname{cosec}(x+h)-\operatorname{cosec} x]$
$=\lim _{h \rightarrow 0} \frac{1}{h}\left[\frac{1}{\sin (x+h)}-\frac{1}{\sin x}\right]$
$=\lim _{h \rightarrow 0} \frac{1}{h}\left[\frac{\sin x-\sin (x+h)}{\sin (x+h) \sin x}\right]$
$=\lim _{h \rightarrow 0} \frac{1}{h}\left[\frac{2 \cos \left(\frac{x+x+h}{2}\right) \cdot \sin \left(\frac{x-x-h}{2}\right)}{\sin (x+h) \sin x}\right]$
$=\lim _{h \rightarrow 0} \frac{1}{h}\left[\frac{2 \cos \left(\frac{2 x+h}{2}\right) \sin \left(-\frac{h}{2}\right)}{\sin (x+h) \sin x}\right]$
$=\lim _{h \rightarrow 0} \frac{-\cos \left(\frac{2 x+h}{2}\right) \cdot \frac{\sin \left(\frac{h}{2}\right)}{\left(\frac{h}{2}\right)}}{\sin (x+h) \sin x}$
$=\lim _{h \rightarrow 0}\left(\frac{-\cos \left(\frac{2 x+h}{2}\right)}{\sin (x+h) \sin x}\right) \lim _{\frac{h}{2} \rightarrow 0} \frac{\sin \left(\frac{h}{2}\right)}{\left(\frac{h}{2}\right)}$
$=\left(\frac{-\cos x}{\sin x \sin x}\right) \cdot 1$
$=-\operatorname{cosec} x \cot x$
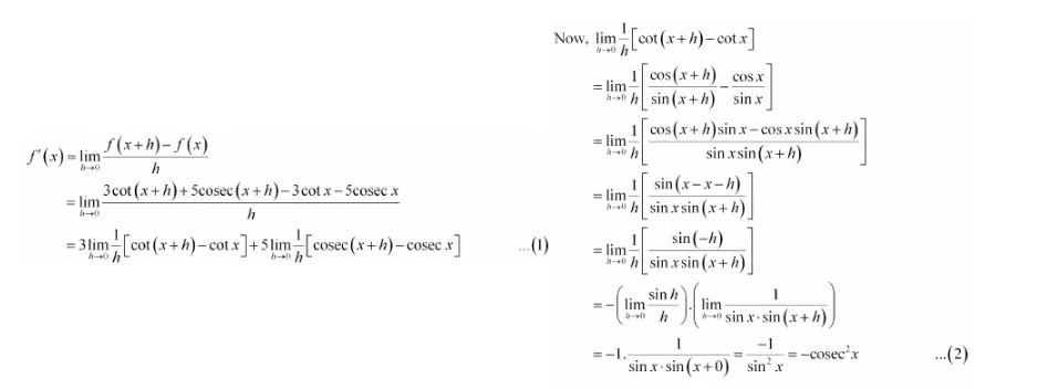
(v) Let f (x) = 3cot x + 5cosec x. Accordingly, from the first principle,

$\lim _{h \rightarrow 0} \frac{1}{h}[\operatorname{cosec}(x+h)-\operatorname{cosec} x]$
$=\lim _{h \rightarrow 0} \frac{1}{h}\left[\frac{1}{\sin (x+h)}-\frac{1}{\sin x}\right]$
$=\lim _{h \rightarrow 0} \frac{1}{h}\left[\frac{\sin x-\sin (x+h)}{\sin (x+h) \sin x}\right]$
$=\lim _{h \rightarrow 0} \frac{1}{h}\left[\frac{2 \cos \left(\frac{x+x+h}{2}\right) \cdot \sin \left(\frac{x-x-h}{2}\right)}{\sin (x+h) \sin x}\right]$
$=\lim _{h \rightarrow 0} \frac{1}{h}\left|\frac{2 \cos \left(\frac{2 x+h}{2}\right) \sin \left(-\frac{h}{2}\right)}{\sin (x+h) \sin x}\right|$
$=\lim _{h \rightarrow 0} \frac{-\cos \left(\frac{2 x+h}{2}\right) \cdot \frac{\sin \left(\frac{h}{2}\right)}{\left(\frac{h}{2}\right)}}{\sin (x+h) \sin x}$
$=\lim _{h \rightarrow 0}\left(\frac{-\cos \left(\frac{2 x+h}{2}\right)}{\sin (x+h) \sin x}\right) \lim _{\frac{h}{2} \rightarrow 0} \frac{\sin \left(\frac{h}{2}\right)}{\left(\frac{h}{2}\right)}$
$=\left(\frac{-\cos x}{\sin x \sin x}\right) .1$
$=-\operatorname{cosec} x \cot x$ ....(3)
From (1), (2), and (3), we obtain
$f^{\prime}(x)=-3 \operatorname{cosec}^{2} x-5 \operatorname{cosec} x \cot x$
(vi) Let f (x) = 5sin x – 6cos x + 7. Accordingly, from the first principle,
$f^{\prime}(x)=\lim _{h \rightarrow 0} \frac{f(x+h)-f(x)}{h}$
$=\lim _{h \rightarrow 0} \frac{1}{h}[5 \sin (x+h)-6 \cos (x+h)+7-5 \sin x+6 \cos x-7]$
$=\lim _{h \rightarrow 0} \frac{1}{h}[5\{\sin (x+h)-\sin x\}-6\{\cos (x+h)-\cos x\}]$
$=5 \lim _{h \rightarrow 0} \frac{1}{h}[\sin (x+h)-\sin x]-6 \lim _{h \rightarrow 0} \frac{1}{h}[\cos (x+h)-\cos x]$
$=5 \lim _{h \rightarrow 0} \frac{1}{h}\left[2 \cos \left(\frac{x+h+x}{2}\right) \sin \left(\frac{x+h-x}{2}\right)\right]-6 \lim _{h \rightarrow 0} \frac{\cos x \cos h-\sin x \sin h-\cos x}{h}$
$=5 \lim _{h \rightarrow 0} \frac{1}{h}\left[2 \cos \left(\frac{2 x+h}{2}\right) \sin \frac{h}{2}\right]-6 \lim _{h \rightarrow 0}\left[\frac{-\cos x(1-\cos h)-\sin x \sin h}{h}\right]$
$=5 \lim _{h \rightarrow 0}\left(\cos \left(\frac{2 x+h}{2}\right) \frac{\sin \frac{h}{2}}{\frac{h}{2}}\right)-6 \lim _{h \rightarrow 0}\left[\frac{-\cos x(1-\cos h)}{h}-\frac{\sin x \sin h}{h}\right]$
$=5\left[\lim _{h \rightarrow 0} \cos \left(\frac{2 x+h}{2}\right)\right]\left[\lim _{\frac{h}{2} \rightarrow 0} \frac{\sin \frac{h}{2}}{\frac{h}{2}}\right]-6\left[(-\cos x)\left(\lim _{h \rightarrow 0} \frac{1-\cos h}{h}\right)-\sin x \lim _{h \rightarrow 0}\left(\frac{\sin h}{h}\right)\right]$
$=5 \cos x .1-6[(-\cos x) \cdot(0)-\sin x .1]$
$=5 \cos x+6 \sin x$
(vii) Let $f(x)=2 \tan x-7 \sec x$. Accordingly, from the first principle,
$f^{\prime}(x)=\lim _{h \rightarrow 0} \frac{f(x+h)-f^{\prime}(x)}{h}$
$=\lim _{h \rightarrow 0} \frac{1}{h}[2 \tan (x+h)-7 \sec (x+h)-2 \tan x+7 \sec x]$
$=\lim _{h \rightarrow 0} \frac{1}{h}[2\{\tan (x+h)-\tan x\}-7\{\sec (x+h)-\sec x\}]$
$=2 \lim _{h \rightarrow 0} \frac{1}{h}[\tan (x+h)-\tan x]-7 \lim _{h \rightarrow 0} \frac{1}{h}[\sec (x+h)-\sec x]$
$=2 \lim _{h \rightarrow 0} \frac{1}{h}\left[\frac{\sin (x+h)}{\cos (x+h)}-\frac{\sin x}{\cos x}\right]-7 \lim _{h \rightarrow 0} \frac{1}{h}\left[\frac{1}{\cos (x+h)}-\frac{1}{\cos x}\right]$
$=2 \lim _{h \rightarrow 0} \frac{1}{h}\left[\frac{\sin (x+h-x)}{\cos x \cos (x+h)}\right]-7 \lim _{h \rightarrow 0} \frac{1}{h}\left[\frac{-2 \sin \left(\frac{x+x+h}{2}\right) \sin \left(\frac{x-x-h}{2}\right)}{\cos x \cos (x+h)}\right]$
$=2 \lim _{h \rightarrow 0}\left[\left(\frac{\sin h}{h}\right) \frac{1}{\cos x \cos (x+h)}\right]-7 \lim _{h \rightarrow 0} \frac{1}{h}\left[\frac{-2 \sin \left(\frac{2 x+h}{2}\right) \sin \left(-\frac{h}{2}\right)}{\cos x \cos (x+h)}\right]$
$=2\left(\lim _{b \rightarrow 0} \frac{\sin h}{h}\right)\left(\lim _{h \rightarrow 0} \frac{1}{\cos x \cos (x+h)}\right)-7\left(\lim _{\frac{h}{2} \rightarrow 0} \frac{\sin \frac{h}{2}}{\frac{h}{2}}\right)\left(\lim _{h \rightarrow 0} \frac{\sin \left(\frac{2 x+h}{2}\right)}{\cos x \cos (x+h)}\right)$
$=2.1 \frac{1}{\cos x \cos x}-7.1\left(\frac{\sin x}{\cos x \cos x}\right)$
$=2 \sec ^{2} x-7 \sec x \tan x$