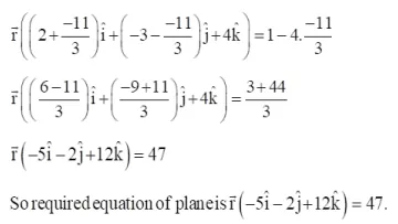
Question:
Find the equation of the plane through the line of intersection of the planes $\overrightarrow{\mathrm{r}} \cdot(2 \hat{\mathrm{i}}-3 \hat{\mathrm{j}}+4 \hat{\mathrm{k}})=1$ and $\overrightarrow{\mathrm{r}} \cdot(\hat{\mathrm{i}}-\hat{\mathrm{j}})+4=0$ and perpendicular to the plane $\overrightarrow{\mathrm{r}} \cdot(2 \hat{\mathrm{i}}-\hat{\mathrm{j}}+\hat{\mathrm{k}})+8=0$
Solution:

