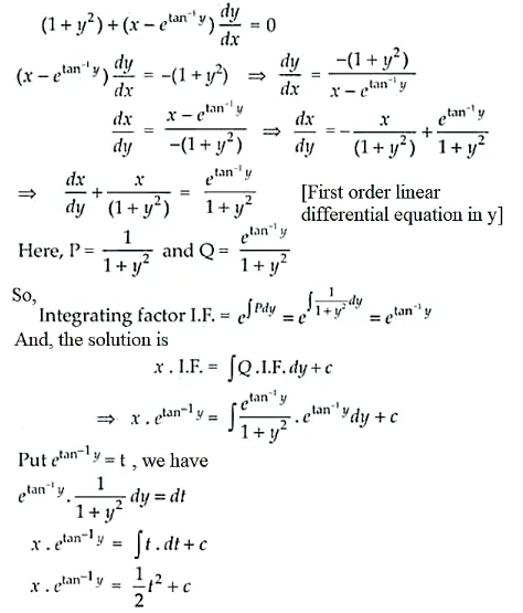
Find the general solution of the differential equation

Question:

Find the general solution of the differential equation

Solution:

Given differential equation,

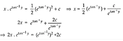
Thus, the above is the required solution of the given differential equation.

Leave a comment