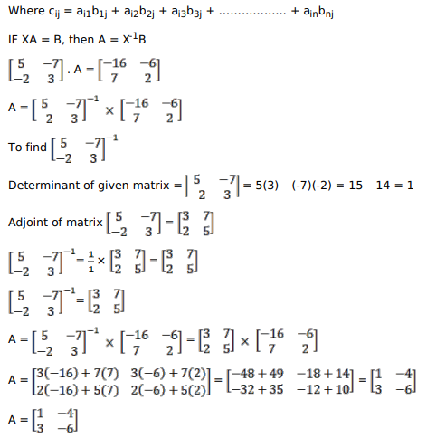
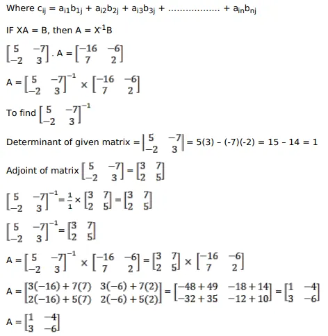
Find the matrix A such that

Question:

Find the matrix A such that $\left[\begin{array}{cc}5 & -7 \\ -2 & 3\end{array}\right], A=\left[\begin{array}{cc}-16 & -6 \\ 7 & 2\end{array}\right]$.

Solution:

$A=\left[\begin{array}{ll}1 & -4 \\ 3 & -6\end{array}\right]$

Leave a comment