Find the missing frequencies in the following frequency distribution if it is known that the mean of the distribution is 50.

Given:

Mean $=50$
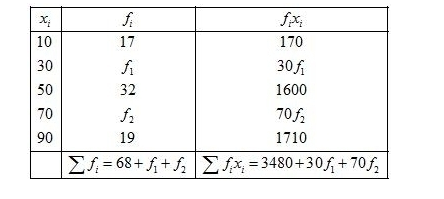
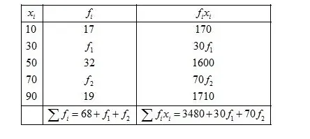
First of all prepare the frequency table in such a way that its first column consists of the values of the variate $\left(x_{i}\right)$ and the second column the corresponding frequencies $\left(f_{i}\right)$.
Thereafter multiply the frequency of each row with corresponding values of variable to obtain third column containing $\left(f_{i} x_{i}\right)$.
Then, sum of all entries in the column second and denoted by $\sum f_{i}$ and in the third column to obtain $\sum f_{i} x_{i}$.

Now,
$68+f_{1}+f_{2}=120$
$f_{1}+f_{2}=120-68$
$f_{1}=52-f_{2} \ldots . .(1)$
We know that mean, $\bar{X}=\frac{\sum f_{i} x_{i}}{\sum f_{i}}$
$50=\frac{3480+30 f_{1}+70 f_{2}}{120}$
By using cross multiplication method,
$6000=3480+30 f_{1}+70 f_{2}$
$6000-3480=30 f_{1}+70 f_{2}$
$2520=30 f_{1}+70 f_{2}$
$252=3 f_{1}+7 f_{2} \ldots \ldots(2)$
Putting the value of $f_{1}$ from equation (1) in (2), we get
$252=3\left(52-f_{2}\right)+7 f_{2}$
$=156-3 f_{2}+7 f_{2}$
$252-156=4 f_{2}$
$96=4 f_{2}$
Therefore,
$f_{2}=\frac{96}{4}$
$=24$
Putting the value of $f_{2}$ in equation (1), we get
$f_{1}=52-24$
$=28$
Hence, $f_{1}=28$ and $f_{2}=24$