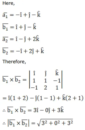
Question:
Find the shortest distance between the given lines.
$\overrightarrow{\mathrm{r}}=(\lambda-1) \hat{\mathrm{i}}+(\lambda+1) \hat{\mathrm{j}}-(\lambda+1) \hat{\mathrm{k}}$
$\overrightarrow{\mathrm{r}}=(1-\mu) \hat{\mathrm{i}}+(2 \mu-1) \hat{\mathrm{j}}+(\mu+2) \hat{\mathrm{k}}$
Solution:






