Question:
Find the shortest distance between the lines $L_{1}$ and $L_{2}$ whose vector equations are
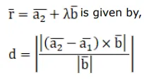
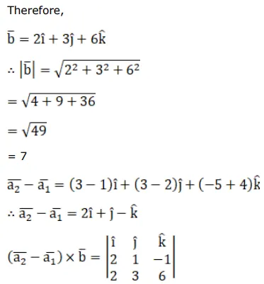
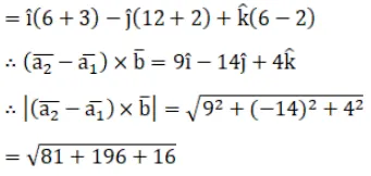
$\overrightarrow{\mathrm{r}}=(\hat{\mathrm{i}}+2 \hat{\mathrm{j}}-4 \hat{\mathrm{k}})+\lambda(2 \hat{\mathrm{i}}+3 \hat{\mathrm{j}}+6 \hat{\mathrm{k}})$ and $\overrightarrow{\mathrm{r}}=(3 \hat{\mathrm{i}}+3 \hat{\mathrm{j}}-5 \hat{\mathrm{k}})+\mu(2 \hat{\mathrm{i}}+3 \hat{\mathrm{j}}+6 \hat{\mathrm{k}})$
HINT: The given lines are parallel.
Solution:






