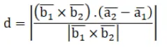
Find the shortest distance between the lines given below:

Question:

Find the shortest distance between the lines given below:

$\frac{x-12}{-9}=\frac{y-1}{4}=\frac{z-5}{2}$ and $\frac{x-23}{-6}=\frac{y-10}{-4}=\frac{z-25}{3}$

HINT: Change the given equations in vector form.

Solution:

Leave a comment