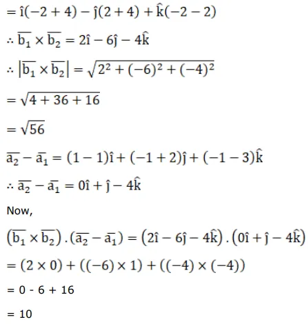
Find the shortest distance between the lines given below:
Question:
Find the shortest distance between the lines given below:
$\frac{x-1}{-1}=\frac{y+2}{1}=\frac{z-3}{-2}$ and $\frac{x-1}{2}=\frac{y+1}{2} \frac{z+1}{-2}$.
Solution:






