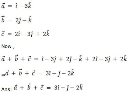
Question:
Find the sum of the vectors $\overrightarrow{\mathrm{a}}=(\hat{\mathrm{i}}-3 \hat{\mathrm{k}}), \overrightarrow{\mathrm{b}}=(2 \hat{\mathrm{j}}-\hat{\mathrm{k}})$ and $\overrightarrow{\mathrm{c}}=(2 \hat{\mathrm{i}}-3 \hat{\mathrm{j}}+2 \hat{\mathrm{k}})$
Solution:
