Find the value of i1/i2 in figure (32-E3) if (a) R=0.1Ω (b)R=1Ω (c) R=10Ω.
Question:
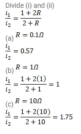
Find the value of $\mathrm{i}_{1} / \mathrm{i}_{2}$ in figure (32-E3) if (a) $\mathrm{R}=0.1 \Omega$ (b) $\mathrm{R}=1 \Omega$ (c) $\mathrm{R}=10 \Omega$. Note from your answers that in order to get more current from a combination of two batteries they should be joined in parallel if the external resistance is small and in series if the external resistance is large as compared to the internal resistances.

Solution:


