Form the differential equation having

Question:

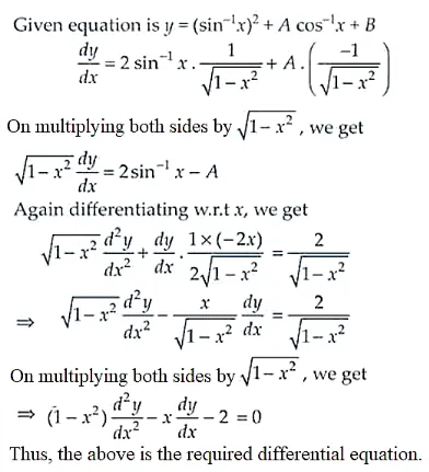
Form the differential equation having y = (sin–1x)2 + A cos–1x + B, where A and B are arbitrary constants, as its general solution.

Solution:

Leave a comment