Question:
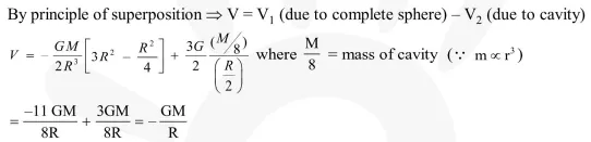
From a solid sphere of mass $\mathrm{M}$ and radius $\mathrm{R}$, a spherical portion of radius $\frac{\mathrm{R}}{2}$ is removed, as shown in the figure. Taking gravitational potential $\mathrm{V}=0$ at $\mathrm{r}=\infty$, the potential at the centre of the cavity thus formed is : ( $\mathrm{G}=$ gravitational constant $)$

Correct Option: , 4
Solution:
