Question:
Given below are two statements, one is labelled as Assertion (A) and other is labelled as Reason (R).
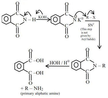
Assertion (R) : Gabriel phthalimide synthesis cannot be used to prepare aromatic primary amines.
Reason : Aryl halides do not undergo nucleophilic substitution reaction.
In the light of the above statements, choose the correct answer from the options given below :
Correct Option: , 3
Solution:
Gabriel pthalamide synthesis
