Question:
Given examples of two functions $t: \mathbf{N} \rightarrow \mathbf{N}$ and $g: \mathbf{N} \rightarrow \mathbf{N}$ such that got is onto but $f$ is not onto.
(Hint: Consider $f(x)=x+1$ and $g(x)= \begin{cases}x-1 & \text { if } x>1 \\ 1 & \text { if } x=1\end{cases}$
Solution:
Define f: N → N by,
f(x) = x + 1
And, g: N → N by,
$g(x)= \begin{cases}x-1 & \text { if } x>1 \\ 1 & \text { if } x=1\end{cases}$
We first show that g is not onto.
For this, consider element 1 in co-domain N. It is clear that this element is not an image of any of the elements in domain N.
∴ f is not onto.
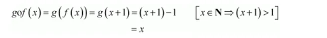
Now, gof: N → N is defined by,

Then, it is clear that for $y \in \mathbf{N}$, there exists $x=y \in \mathbf{N}$ such that gof $(x)=y$.
Hence, gof is onto.