If a hyperbola passes through the point

Question:

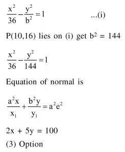
If a hyperbola passes through the point $\mathrm{P}(10,16)$ and it has vertices at $(\pm 6,0)$, then the equation of the normal to it at $\mathrm{P}$ is

  1. $x+2 y=42$

  2. $3 x+4 y=94$

  3. $2 x+5 y=100$

  4. $x+3 y=58$


Correct Option: , 3

Solution:

Leave a comment