If α and β are the zeroes of the quadratic polynomial f(x) = ax2 + bx + c, then evaluate :
(i) $\alpha-\beta$
(ii) $\frac{1}{\alpha}-\frac{1}{\beta}$
(iii) $\frac{1}{\alpha}+\frac{1}{\beta}-2 \alpha \beta$
(iv) $a^{2} \beta-a \beta^{2}$
(v) $\alpha^{4}+\beta^{4}$
(vi) $\frac{1}{a \alpha+b}+\frac{1}{a \beta+b}$
(vii) $\frac{\beta}{a \alpha+b}+\frac{\alpha}{a \beta+b}$
(viii) $a\left(\frac{\alpha^{2}}{\beta}+\frac{\beta^{2}}{\alpha}\right)+b\left(\frac{\alpha}{\beta}+\frac{\beta}{\alpha}\right)$
(i) Given $\alpha$ and $\beta$ are the zeros of the quadratic polynomial $f(x)=a x^{2}+b x+c$
$\alpha+\beta=\frac{-\text { Coefficient of } x}{\text { Coefficient of } x^{2}}$
$=\frac{-b}{a}$
$\alpha \beta=\frac{\text { Constant term }}{\text { Coefficient of } x^{2}}$
$=\frac{c}{a}$
We have, $(\alpha-\beta)$
$(\alpha-\beta)^{2}=\alpha^{2}+\beta^{2}-2 \alpha \beta$
$\alpha-\beta=\sqrt{\alpha^{2}+\beta^{2}-2 \alpha \beta}$
$\alpha-\beta=\sqrt{(\alpha+\beta)^{2}-2 \alpha \beta-2 \alpha \beta}$
$\alpha-\beta=\sqrt{(\alpha+\beta)^{2}-4 \alpha \beta}$
Substituting $\alpha+\beta=\frac{-b}{a}$ and $\alpha \beta=\frac{c}{a}$ then we get,
$\alpha-\beta=\sqrt{\left(\frac{-b}{a}\right)^{2}-4 \frac{c}{a}}$
$\alpha-\beta=\sqrt{\frac{b^{2}}{a^{2}}-\frac{4 c}{a}}$
$\alpha-\beta=\sqrt{\frac{b^{2}}{a^{2}}-\frac{4 c \times a}{a \times a}}$
$\alpha-\beta=\sqrt{\frac{b^{2}}{a^{2}}-\frac{4 a c}{a^{2}}}$
$\alpha-\beta=\sqrt{\frac{b^{2}-4 a c}{a^{2}}}$
$\alpha-\beta=\frac{\sqrt{b^{2}-4 a c}}{a}$
Hence, the value of $\alpha-\beta$ is $\frac{\sqrt{b^{2}-4 a c}}{a}$.
(ii) Given $\alpha$ and $\beta$ are the zeros of the quadratic polynomial $f(x)=a x^{2}+b x+c$
$\alpha+\beta=\frac{-\text { Coefficient of } x}{\text { Coefficient of } x^{2}}$
$=\frac{-b}{a}$
$\alpha \beta=\frac{\text { Constant term }}{\text { Coefficient of } x^{2}}$
$=\frac{c}{a}$
We have,
$\frac{1}{\alpha}-\frac{1}{\beta}$
$\frac{1}{\alpha}-\frac{1}{\beta}=\sqrt{\left(\frac{1}{\alpha}+\frac{1}{\beta}\right)^{2}-4 \frac{1}{\alpha \beta}}$
$\frac{1}{\alpha}-\frac{1}{\beta}=\sqrt{\left(\frac{\alpha+\beta}{\alpha \beta}\right)^{2}-4 \frac{1}{\alpha \beta}}$
Substituting $\alpha+\beta=\frac{-b}{a}$ and $\alpha \beta=\frac{c}{a}$ then we get,
$\frac{1}{\alpha}-\frac{1}{\beta}=\sqrt{\left(\frac{\frac{-b}{a}}{\frac{c}{a}}\right)^{2}-\frac{4}{\frac{c}{a}}}$
$\frac{1}{\alpha}-\frac{1}{\beta}=\sqrt{\left(\frac{-b}{a} \times \frac{a}{c}\right)^{2}-4 \times \frac{a}{c}}$

$\frac{1}{\alpha}-\frac{1}{\beta}=\sqrt{\left(\frac{-b}{c}\right)^{2}-\frac{4 a}{c}}$
$\frac{1}{\alpha}-\frac{1}{\beta}=\sqrt{\frac{b^{2}}{c^{2}}-\frac{4 a}{c}}$
By taking least common factor we get,
$\frac{1}{\alpha}-\frac{1}{\beta}=\sqrt{\frac{b^{2}}{c^{2}}-\frac{4 a \times c}{c \times c}}$
$\frac{1}{\alpha}-\frac{1}{\beta}=\sqrt{\frac{b^{2}}{c^{2}}-\frac{4 a c}{c^{2}}}$
$\frac{1}{\alpha}-\frac{1}{\beta}=\sqrt{\frac{b^{2}-4 a c}{c^{2}}}$
$\frac{1}{\alpha}-\frac{1}{\beta}=\frac{\sqrt{b^{2}-4 a c}}{c}$
Hence the value of $\frac{1}{\alpha}-\frac{1}{\beta}$ is $\frac{\sqrt{b^{2}-4 a c}}{c}$.
(iii) Given $\alpha$ and $\beta$ are the zeros of the quadratic polynomial $f(x)=a x^{2}+b x+c$
$\alpha+\beta=\frac{-\text { Coefficient of } x}{\text { Coefficient of } x^{2}}$
$=\frac{-b}{a}$
$\alpha \beta=\frac{\text { Constant term }}{\text { Coefficient of } x^{2}}$
$=\frac{c}{a}$
We have, $\frac{1}{\alpha}+\frac{1}{\beta}-2 \alpha \beta$
By cross multiplication we get,
$\frac{1}{\alpha}+\frac{1}{\beta}-2 \alpha \beta=\frac{\alpha+\beta}{\alpha \beta}-2 \alpha \beta$
By substituting $\alpha+\beta=\frac{-b}{a}$ and $\alpha \beta=\frac{c}{a}$ we get,
$\frac{1}{\alpha}+\frac{1}{\beta}-2 \alpha \beta=\frac{\frac{-b}{a}}{\frac{c}{a}}-2 \frac{c}{a}$
$\frac{1}{\alpha}+\frac{1}{\beta}-2 \alpha \beta=\frac{-b}{a} \times \frac{a}{c}-\frac{2 c}{a}$

$\frac{1}{\alpha}+\frac{1}{\beta}-2 \alpha \beta=\frac{-b}{c}-\frac{2 c}{a}$
$\frac{1}{\alpha}+\frac{1}{\beta}-2 \alpha \beta=-\left(\frac{b}{c}+\frac{2 c}{a}\right)$
Hence the value of $\frac{1}{\alpha}+\frac{1}{\beta}-2 \alpha \beta$ is $=-\left(\frac{b}{c}+\frac{2 c}{a}\right)$.
(iv) Given $\alpha$ and $\beta$ are the zeros of the quadratic polynomial $f(x)=a x^{2}+b x+c$
$\alpha+\beta=\frac{-\text { Coefficient of } x}{\text { Coefficient of } x^{2}}$
$=\frac{-b}{a}$
$\alpha \beta=\frac{\text { Constant term }}{\text { Coefficient of } x^{2}}$
$=\frac{c}{a}$
We have, $\alpha^{2} \beta+\alpha \beta^{2}$
By taking common factor $\alpha \beta$ we get, $=2 \beta(\alpha+\beta)$
By substituting $\alpha+\beta=\frac{-b}{a}$ and $\alpha \beta=\frac{c}{a}$ we get,
$=\frac{c}{a}\left(\frac{-b}{a}\right)$
$=\frac{-c b}{a^{2}}$
Hence the value of $\alpha^{2} \beta+\alpha \beta^{2}$ is $\frac{-c b}{a^{2}}$.
(v) Given $\alpha$ and $\beta$ are the zeros of the quadratic polynomial $f(x)=a x^{2}+b x+c$
$\alpha+\beta=\frac{-\text { Coefficient of } x}{\text { Coefficient of } x^{2}}$
$=\frac{-b}{a}$
$\alpha \beta=\frac{\text { Constant term }}{\text { Coefficient of } x^{2}}$
$=\frac{c}{a}$
We have,
$\alpha^{4}+\beta^{4}=\left(\alpha^{2}+\beta^{2}\right)^{2}-2 \alpha^{2} \beta^{2}$
$\alpha^{4}+\beta^{4}=\left[(\alpha+\beta)^{2}-2 \alpha \beta\right]^{2}-2(\alpha \beta)^{2}$
By substituting $\alpha+\beta=\frac{-b}{a}$ and $\alpha \beta=\frac{c}{a}$ we get,
$\alpha^{4}+\beta^{4}=\left[\left(\frac{-b}{a}\right)^{2}-2 \times \frac{c}{a}\right]^{2}-2\left(\frac{c}{a}\right)^{2}$
$\alpha^{4}+\beta^{4}=\left[\frac{b^{2}}{a^{2}}-\frac{2 c}{a}\right]^{2}-2\left(\frac{c}{a}\right)^{2}$
By taking least common factor we get
$\alpha^{4}+\beta^{4}=\left[\left(\frac{-b}{a}\right)^{2}-2 \times\left(\frac{c}{a}\right)\right]^{2}-2 \times\left(\frac{c}{a}\right)^{2}$
$=\left[\frac{b^{2}}{a^{2}}-\frac{2 c}{a}\right]^{2}-2 \times\left(\frac{c}{a}\right)^{2}$
$=\left[\frac{b^{2}-2 a c}{a^{2}}\right]^{2}-2 \times \frac{c^{2}}{a^{2}}$
$=\frac{\left(b^{2}-2 a c\right)^{2}}{a^{4}}-2 \times \frac{c^{2}}{a^{2}}$
$=\frac{\left(b^{2}-2 a c\right)^{2}-2 c^{2} a^{2}}{a^{4}}$
Hence the value of $\alpha^{4}+\beta^{4}$ is $\frac{\left(b^{2}-2 a c\right)^{2}-2 c^{2} a^{2}}{a^{4}}$.
(vi) Since $\alpha$ and $\beta$ are the zeros of the quadratic polynomial $f(x)=a x^{2}+b x+c$
$\alpha+\beta=\frac{-\text { Coefficient of } x}{\text { Coefficient of } x^{2}}$
$=\frac{-b}{a}$
$\alpha \beta=\frac{\text { Constant term }}{\text { Coefficient of } x^{2}}$
$=\frac{c}{a}$
We have, $\frac{1}{a \alpha+b}+\frac{1}{a \beta+b}$
$\frac{1}{a \alpha+b}+\frac{1}{a \beta+b}=\frac{a \beta+b+a \alpha+b}{(a \alpha+b)(a \beta+b)}$
$\frac{1}{a \alpha+b}+\frac{1}{a \beta+b}=\frac{a(\alpha+\beta)+2 b}{a^{2} \times \alpha \beta+a b \beta+a b \alpha+b^{2}}$
$\frac{1}{a \alpha+b}+\frac{1}{a \beta+b}=\frac{a(\alpha+\beta)+2 b}{a^{2} \times \alpha \beta+a b(\alpha+\beta)+b^{2}}$
By substituting $\alpha+\beta=\frac{-b}{a}$ and $\alpha \beta=\frac{c}{a}$ we get,
$\frac{1}{a \alpha+b}+\frac{1}{a \beta+b}=\frac{a \times \frac{-b}{a}+2 b}{a^{2} \times \frac{c}{a}+a b \times \frac{-b}{a}+b^{2}}$

$\frac{1}{a \alpha+b}+\frac{1}{a \beta+b}=\frac{-b+2 b}{a \times c-b^{2}+b^{2}}$

$\frac{1}{a \alpha+b}+\frac{1}{a \beta+b}=\frac{b}{a c}$
Hence, the value of $\frac{1}{a \alpha+b}+\frac{1}{a \beta+b}$ is $\frac{b}{a c}$.
(vii) Since $\alpha$ and $\beta$ are the zeros of the quadratic polynomial $f(x)=a x^{2}+b x+c$
$\alpha+\beta=\frac{-\text { Coefficient of } x}{\text { Coefficient of } x^{2}}$
$=\frac{-b}{a}$
$\alpha \beta=\frac{\text { Constant term }}{\text { Coefficient of } x^{2}}$
$=\frac{c}{a}$
We have, $\frac{\beta}{a \alpha+b}+\frac{\alpha}{a \beta+b}$
$\frac{\beta}{a \alpha+b}+\frac{\alpha}{a \beta+b}=\frac{\beta(a \beta+b)+\alpha(a \alpha+b)}{(a \alpha+b)(a \beta+b)}$
$\frac{\beta}{a \alpha+b}+\frac{\alpha}{a \beta+b}=\frac{a \beta^{2}+\beta b+a \alpha^{2}+b \alpha}{a^{2} \times \alpha \beta+a b \beta+a b \alpha+b^{2}}$
$\frac{\beta}{a \alpha+b}+\frac{\alpha}{a \beta+b}=\frac{a \beta^{2}+a \alpha^{2}+b \alpha+\beta b}{a^{2} \times \alpha \beta+a b(\alpha+\beta)+b^{2}}$
$\frac{\beta}{a \alpha+b}+\frac{\alpha}{a \beta+b}=\frac{a\left(\beta^{2}+\alpha^{2}\right)+b(\alpha+\beta)}{a^{2} \times \alpha \beta+a b(\alpha+\beta)+b^{2}}$
$\frac{\beta}{a \alpha+b}+\frac{\alpha}{a \beta+b}=\frac{a\left((\alpha+\beta)^{2}-2 \alpha \beta\right)+b(\alpha+\beta)}{a^{2} \times \alpha \beta+a b(\alpha+\beta)+b^{2}}$
By substituting $\alpha+\beta=\frac{-b}{a}$ and $\alpha \beta=\frac{c}{a}$ we get,

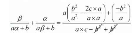
$\frac{\beta}{a \alpha+b}+\frac{\alpha}{a \beta+b}=\frac{a\left(\frac{b^{2}}{a^{2}}-2 \times \frac{c}{a}\right)+\left(\frac{-b^{2}}{a}\right)}{a \times c-b^{2}+b^{2}}$

$\frac{\beta}{a \alpha+b}+\frac{\alpha}{a \beta+b}=\frac{a\left(\frac{b^{2}}{a^{2}}-\frac{2 c a}{a^{2}}\right)+\left(\frac{-b^{2}}{a}\right)}{a c}$
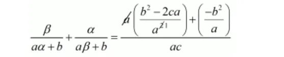
$\frac{\beta}{a \alpha+b}+\frac{\alpha}{a \beta+b}=\frac{a\left(\frac{b^{2}-2 c a}{a^{2}}\right)+\left(\frac{-b^{2}}{a}\right)}{a c}$

$\frac{\beta}{a \alpha+b}+\frac{\alpha}{a \beta+b}=\frac{\left(\frac{b^{2}-2 c a}{a}\right)+\left(\frac{-b^{2}}{a}\right)}{a c}$
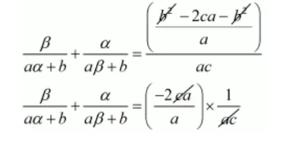
$\frac{\beta}{a \alpha+b}+\frac{\alpha}{a \beta+b}=\frac{\left(\frac{b^{2}-2 c a-b^{2}}{a}\right)}{a c}$

$\frac{\beta}{a \alpha+b}+\frac{\alpha}{a \beta+b}=\frac{-2}{a}$
Hence, the value of $\frac{\beta}{a \alpha+b}+\frac{\alpha}{a \beta+b}$ is $\frac{-2}{a}$.
(viii) Since $\alpha$ and $\beta$ are the zeros of the quadratic polynomial $f(x)=a x^{2}+b x+c$
$\alpha+\beta=\frac{-\text { Coefficient of } x}{\text { Coefficient of } x^{2}}$
$=\frac{-b}{a}$
$\alpha \beta=\frac{\text { Constant term }}{\text { Coefficient of } x^{2}}$
$=\frac{c}{a}$
We have, $a\left(\frac{\alpha^{2}}{\beta}+\frac{\beta^{2}}{\alpha}\right)+b\left(\frac{\alpha}{\beta}+\frac{\beta}{\alpha}\right)$
$a\left(\frac{\alpha^{2}}{\beta}+\frac{\beta^{2}}{\alpha}\right)+b\left(\frac{\alpha}{\beta}+\frac{\beta}{\alpha}\right)=a\left(\frac{\alpha^{2}}{\beta}+\frac{\beta^{2}}{\alpha}\right)+b\left(\frac{\alpha}{\beta}+\frac{\beta}{\alpha}\right)$
$a\left(\frac{\alpha^{2}}{\beta}+\frac{\beta^{2}}{\alpha}\right)+b\left(\frac{\alpha}{\beta}+\frac{\beta}{\alpha}\right)=a\left(\frac{\alpha^{2}+\beta^{2}}{\alpha \beta}\right)+b\left(\frac{\alpha^{2}+\beta^{2}}{\alpha \beta}\right)$
$a\left(\frac{\alpha^{2}}{\beta}+\frac{\beta^{2}}{\alpha}\right)+b\left(\frac{\alpha}{\beta}+\frac{\beta}{\alpha}\right)=a\left(\frac{(\alpha+\beta)^{3}-3 \alpha \beta(\alpha+\beta)}{\alpha \beta}\right)+\left(\frac{(\alpha+\beta)^{2}-2 \alpha \beta}{\alpha \beta}\right)$
By substituting $\alpha+\beta=\frac{-b}{a}$ and $\alpha \beta=\frac{c}{a}$ we get,
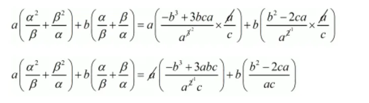
$a\left(\frac{\alpha^{2}}{\beta}+\frac{\beta^{2}}{\alpha}\right)+b\left(\frac{\alpha}{\beta}+\frac{\beta}{\alpha}\right)=a\left(\frac{\left(\frac{-b}{a}\right)^{3}-3 \times \frac{c}{a}\left(\frac{-b}{a}\right)}{\frac{c}{a}}\right)+b\left(\frac{\left(\frac{-b}{a}\right)^{2}-2 \times \frac{c}{a}}{\frac{c}{a}}\right)$
$a\left(\frac{\alpha^{2}}{\beta}+\frac{\beta^{2}}{\alpha}\right)+b\left(\frac{\alpha}{\beta}+\frac{\beta}{\alpha}\right)=a\left(\frac{\frac{-b^{3}}{a^{3}}-\frac{3 b c}{a^{2}}}{\frac{c}{a}}\right)+b\left(\frac{\frac{-b}{a}-\frac{2 c}{a}}{\frac{c}{a}}\right)$

$a\left(\frac{\alpha^{2}}{\beta}+\frac{\beta^{2}}{\alpha}\right)+b\left(\frac{\alpha}{\beta}+\frac{\beta}{\alpha}\right)=\frac{-b^{3}+3 a b c}{a c}+\frac{b^{3}-2 a b c}{a c}$

$a\left(\frac{\alpha^{2}}{\beta}+\frac{\beta^{2}}{\alpha}\right)+b\left(\frac{\alpha}{\beta}+\frac{\beta}{\alpha}\right)=\frac{3 a b c-2 a b c}{a c}$

$a\left(\frac{\alpha^{2}}{\beta}+\frac{\beta^{2}}{\alpha}\right)+b\left(\frac{\alpha}{\beta}+\frac{\beta}{\alpha}\right)=b$
Hence, the value of $a\left(\frac{\alpha^{2}}{\beta}+\frac{\beta^{2}}{\alpha}\right)+b\left(\frac{\alpha}{\beta}+\frac{\beta}{\alpha}\right)$ is $b$.