If e_1 and e_2 are the eccentricities of the ellipse,
Question:
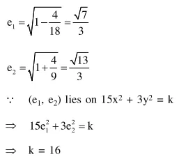
If $e_{1}$ and $e_{2}$ are the eccentricities of the ellipse, $\frac{x^{2}}{18}+\frac{y^{2}}{4}=1$ and the hyperbola, $\frac{x^{2}}{9}-\frac{y^{2}}{4}=1$
respectively and $\left(e_{1}, e_{2}\right)$ is a point on the ellipse, $15 x^{2}+3 y^{2}=k$, then $k$ is equal to :
Correct Option: , 4
Solution:
