If f(x) = x3 + x2 − ax + b is divisible
Question:
If $l(x)=x^{3}+x^{2}-a x+b$ is divisible by $x^{2}-x$ write the value of $a$ and $b$.
Solution:
We are given $f(x)=x^{3}+x^{2}-a x+b$ is exactly divisible by $x^{2}-x$ then the remainder should be zero

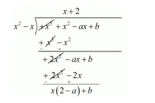
Therefore Quotient $=x+2$ and
Remainder $=x(2-a)+b$
Now, Remainder $=0$
$x(2-a)+b=0$
$x(2-a)+b=0 x+0$
Equating coefficient of $\mathrm{x}$, we get
$2-a=0$
$2=a$
Equating constant term
$b=0$
Hence, the value of $a$ and $b$ are $a=2, b=0$