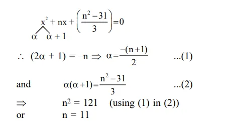
If, for a positive integer n, the quadratic equation,
Download now India's Best Exam Prepration App
Class 8-9-10, JEE & NEET
Video Lectures
Live Sessions
Study Material
Tests
Previous Year Paper
Revision
Question:
If, for a positive integer n, the quadratic equation, $x(x+1)+(x+1)(x+2)+\ldots .+(x+n-1)(x+n)=10 n$ has two consecutive integral solutions, then $\mathrm{n}$ is equal to :