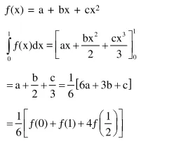
Question: If for all real triplets $(a, b, c), f(x)=a+b x+c x^{2}$
then $\int_{0}^{1} f(x) d x$ is equal to :
$\frac{1}{2}\left\{f(1)+3 f\left(\frac{1}{2}\right)\right\}$
$2\left\{3 f(1)+2 f\left(\frac{1}{2}\right)\right\}$
$\frac{1}{6}\left\{f(0)+f(1)+4 f\left(\frac{1}{2}\right)\right\}$
$\frac{1}{3}\left\{f(0)+f\left(\frac{1}{2}\right)\right\}$
Correct Option: , 3
Solution:
