If one of the zeroes of the cubic polynomial
If one of the zeroes of the cubic polynomial x3 + ax2 + bx + c is -1, then the product of the other two zeroes is
(a) b – a +1
(b) b – a -1
(c) a – b +1
(d) a – b -1
(a) Let p(x) = x3 + ax2 + bx + c
Let a, p and y be the zeroes of the given cubic polynomial p(x).
∴ α = -1 [given]
and p(−1) = 0
⇒ (-1)3 + a(-1)2 + b(-1) + c = 0
⇒ -1 + a- b + c = 0
⇒ c = 1 -a + b …(i)
We know that,
Product of all zeroes $=(-1)^{3} \cdot \frac{\text { Constant term }}{\text { Coefficient of } x^{3}}=-\frac{c}{1}$
$\alpha \beta y=-c$
⇒ (-1)βγ = −c [∴α = -1]
⇒ βγ = c
⇒ βγ = 1 -a + b [from Eq. (i)]
Hence, product of the other two roots is 1 -a + b.
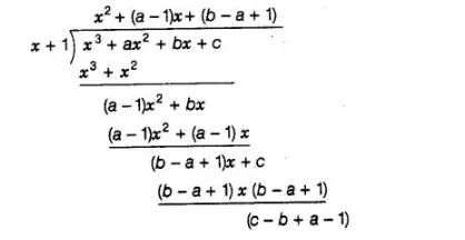
Alternate Method
Since, -1 is one of the zeroes of the cubic polynomial f(x) = x2 + ax2 + bx + c i.e., (x + 1) is a factor of f{x).
Now, using division algorithm,

⇒x3 + ax2 + bx +c = (x + 1) x {x2 + (a – 1)x + (b – a + 1)> + (c – b + a -1)
⇒x3 + ax2 + bx + (b – a + 1) = (x + 1) {x2 + (a – 1)x + (b -a+ 1}}
Let a and p be the other two zeroes of the given polynomial, then
Product of zeroes $=(-1) \alpha \cdot \beta=\frac{-\text { Constant term }}{\text { Coefficient of } x^{3}}$
$\Rightarrow \quad-\alpha \cdot \beta=\frac{-(b-a+1)}{1}$
$\Rightarrow \quad \alpha \beta=-a+b+1$
Hence, the required product of other two roots is $(-a+b+1)$.