If some three consecutive in the binomial expansion of
Download now India's Best Exam Prepration App
Class 8-9-10, JEE & NEET
Video Lectures
Live Sessions
Study Material
Tests
Previous Year Paper
Revision
Question:
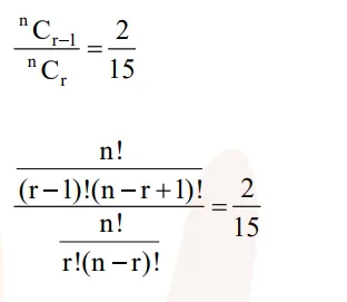
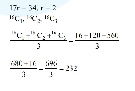
If some three consecutive in the binomial expansion of $(x+1)^{n}$ is powers of $x$ are in the ratio $2: 15: 70$, then the average of these three coefficient is :-