Question:
If the polynomial $l(x)=a x^{3}+b x-c$ is divisible by the polynomial $g(x)=x^{2}+b x+c$, then $a b=$
(a) 1
(b) $\frac{1}{c}$
(c) $-1$
(d) $-\frac{1}{c}$
Solution:
We have to find the value of $a b$
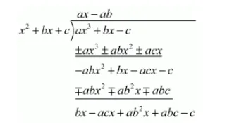
Given $f(x)=a x^{3}+b x-c$ is divisible by the polynomial $g(x)=x^{2}+b x+c$

We must have
$b x-a c x+a b^{2} x+a b c-c=0$, for all $x$
So put $x=0$ in this equation
$x\left(b-a c+a b^{2}\right)+c(a b-1)=0$
$c(a b-1)=0$
Since $c \neq 0$, so
$a b-1=0$
$\Rightarrow a b=1$
Hence, the correct alternative is (a)