If the position vectors of the verticesA

Question:

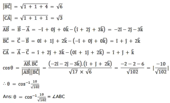
If the position vectors of the verticesA, $B$ and $C$ of a $\triangle A B C$ be $(1,2,3),(-1,0,0)$ and $(0,1,2)$ respectively then find $\angle A B C$.

Solution:

Leave a comment