If the standard deviation of the numbers 2,

Question:

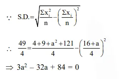
If the standard deviation of the numbers 2, 3, a and 11 is 3.5, then which of the following is true ?

  1. $3 a^{2}-23 a+44=0$

  2. $3 a^{2}-26 a+55=0$

  3. $3 a^{2}-32 a+84=0$

  4. $3 a^{2}-34 a+91=0$


Correct Option: , 3

Solution:

Leave a comment