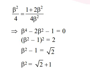
Question: If the tangent to the parabola $\mathrm{y}^{2}=\mathrm{x}$ at a point $(\alpha, \beta),(\beta>0)$ is also a tangent to the ellipse, $x^{2}+2 y^{2}=1$, then $\alpha$ is equal to :
$2 \sqrt{2}+1$
$\sqrt{2}-1$
$\sqrt{2}+1$
$2 \sqrt{2}-1$
Correct Option: , 3
Solution:

