If the zeros of the polynomial f(x) = 2x3 − 15x2 + 37x − 30 are in A.P., find them.
Let $\alpha=a-d, \beta=a$ and $\gamma=a+d$ be the zeros of the polynomial
$f(x)=2 x^{3}-15 x^{2}+37 x-30$
Therefore
$\alpha+\beta+\gamma=\frac{\text { Coefficient of } x^{2}}{\text { Coefficient of } x^{3}}$
$=-\left(\frac{-15}{2}\right)$
$=\frac{15}{2}$
$\alpha \beta \gamma=\frac{-\text { Constant term }}{\text { Coefficient of } x^{2}}$
$=-\left(\frac{-30}{2}\right)$
= 15
Sum of the zeros $=\frac{\text { Coefficient of } x^{2}}{\text { Coefficient of } x^{3}}$
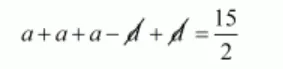
$(a-d)+a+(a+d)=\frac{15}{2}$

$3 a=\frac{15}{2}$

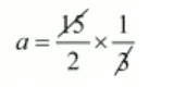
$a=\frac{5}{2}$
Product of the zeros $=\frac{-\text { Constant term }}{\text { Coefficient of } x^{2}}$
$\alpha \beta \gamma=15$
$(a-d)+a+(a+d)=15$
$a\left(a^{2}-d^{2}\right)=15$
Substituting $a=\frac{5}{2}$ we get
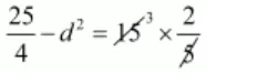
$\frac{5}{2}\left(\left(\frac{5}{2}\right)^{2}-d^{2}\right)=15$
$\frac{5}{2}\left(\frac{25}{4}-d^{2}\right)=15$

$\frac{25}{4}-d^{2}=3 \times 2$
$\frac{25}{4}-d^{2}=6$
$-d^{2}=6-\frac{25}{4}$
$-d^{2}=\frac{24-25}{4}$

$d \times d=\frac{1}{2} \times \frac{1}{2}$
$d=\frac{1}{2}$
Therefore, substituting $a=\frac{5}{2}$ and $d=\frac{1}{2}$ in $\alpha=a-d, \beta=a$ and $\gamma=a+d$
$\alpha=a-d$
$\alpha=\frac{5}{2}-\frac{1}{2}$
$\alpha=\frac{5-1}{2}$
$\alpha=\frac{4}{2}$
$\alpha=2$
$\beta=a$
$\gamma=a+d$
$\gamma=\frac{5}{2}+\frac{1}{2}$
$\gamma=\frac{5+1}{2}$
$\gamma=\frac{6}{2}$
$y=3$
Hence, the zeros of the polynomial are
$2, \frac{5}{2}, 3$