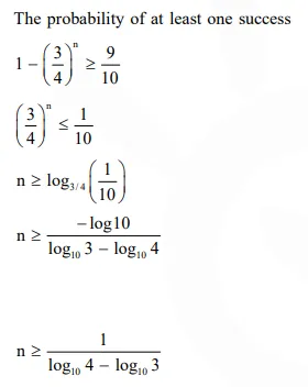
Question: In a binomial distribution $\mathrm{B} \mid \mathrm{f}, \mathrm{p}=\frac{1}{4} \mathrm{~h}$, if the probability of at least one success is greater than or
equal to $\frac{9}{10}$, then $\mathrm{n}$ is greater than
$\frac{9}{\log _{10} 4-\log _{10} 3}$
$\frac{4}{\log _{10} 4-\log _{10} 3}$
$\frac{1}{\log _{10} 4-\log _{10} 3}$
$\frac{1}{\log _{10} 4+\log _{10} 3}$
Correct Option: , 3
Solution:
