In a Young's double slit experiment, the two slits act as coherent sources of waves of equal amplitude A and wavelength
Question:
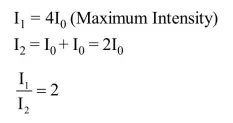
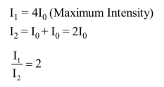
In a Young's double slit experiment, the two slits act as coherent sources of waves of equal amplitude A and wavelength $\lambda$. In another experiment with the same arrangement the two slits are made to act as incoherent sources of waves of same amplitude and wavelength. If the intensity at the middle point of the screen in the first case is $\mathrm{I}_{1}$ and in the second case $\mathrm{I}_{2}$, then the ratio $\frac{\mathrm{I}_{1}}{\mathrm{I}_{2}}$ is :-
Correct Option:
Solution:
