Question:
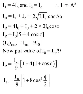
In Young's double slit experiment, one of the slit is wider than other, so that the amplitude of the light from one slit is double of that from other slit. If $\mathrm{I}_{\mathrm{m}}$ be the maximum intensity, the resultant intensity I when they interfere at phase difference $\phi$ is given by :
Correct Option: 1
Solution:
