Let a, b in R, a neq 0 be such that the equation,
Question:
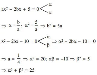
Let $a, b \in R$, $a \neq 0$ be such that the equation, $a x^{2}-2 b x+5=0$ has a repeated root $\alpha$, which is also a root of the equation, $x^{2}-2 b x-10=0$. If $\beta$ is the other root of this equation, then $\alpha^{2}+\beta^{2}$ is equal to :
Correct Option: , 2
Solution:
