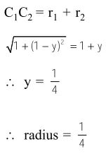
Question: Let C be the circle with centre at (1, 1) and radius = 1. If T is the circle centred at (0, y),
passing through origin and touching the circle C externally, then the radius of T is equal
to :
$\frac{\sqrt{3}}{\sqrt{2}}$
$\frac{\sqrt{3}}{2}$
$\frac{1}{2}$
$\frac{1}{4}$
Correct Option: , 4
Solution:
