Let [.] denote the greatest integet function then the value

Question:

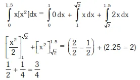
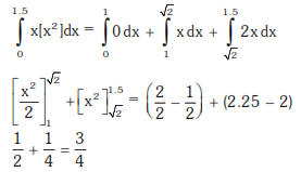
Let [.] denote the greatest integet function then the value of $\int_{0}^{1.5} \mathrm{x}\left[\mathrm{x}^{2}\right]_{\mathrm{dx}}$ is :-

  1. $\frac{5}{4}$

  2. 0

  3. $\frac{3}{2}$

  4. \frac{3}{4}$


Correct Option: 4,

Solution:

Leave a comment