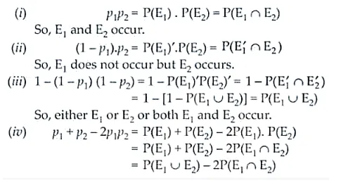
Let E1 and E2 be two independent events such that p(E1) = p1 and P(E2) = p2.
Question:
Let E1 and E2 be two independent events such that p(E1) = p1 and P(E2) = p2. Describe in words of the events whose probabilities are:
(i) p1 p2
(ii) (1–p1) p2
(iii) 1 – (1 – p1)(1 – p2)
(iv) p1 + p2 – 2p1p2
Solution:
Here, P(E1) = p1 and P(E2) = p2

Now, its clearly seen that either E1 or E2 occurs but not both.