Question:
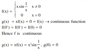
Let $f, g: R \rightarrow R$ be two functions defined byf $(x)=$ $\left\{\begin{array}{l}x \sin \left(\frac{1}{x}\right), x \neq 0 \\ 0 \quad, x=0\end{array}\right.$, and $g(x)=x f(x):-$
Statement I : $\mathrm{f}$ is a continuous function at $\mathrm{x}=0$.
Statement II : $\mathrm{g}$ is a differentiable function at $\mathrm{x}=0$.
Correct Option: 3,
Solution:

